Spheroid 3D Rectangular XYZ-Coordinates Calculator
For Any Point Relative to the Surface of the GPS/GRS-80/WGS-84 Spheroid
PHP Program by Jay Tanner of Waterloo, NY, USA
Latitude
(−Neg = South)
;
Longitude
(−Neg = West)
±Deg.ddddd
or
±Deg min sec
Surface Elevation
in meters or feet (
m
,
ft
)
Double-Click to Select ALL Text Within the Text Area
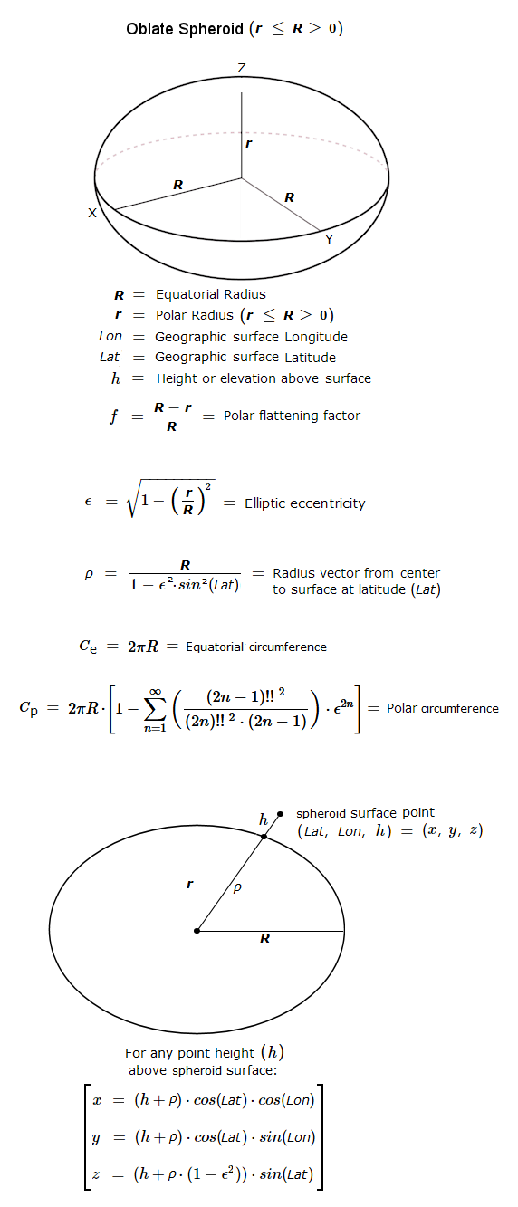
GPS/GRS-80/WGS-84 Spheroid 3D Rectangular XYZ−Coordinates Used by the ITRS - International Terrestrial Reference System and the GPS - Global Positioning System ------------------------------------------------------------------ Geographic Location Coordinates and Elevation Latitude = N +042° 40' 35.2535" = +42.676459305600° Longitude = W -076° 49' 22.8400" = -76.823011111111° Elevation = +261.8231 m = +859.000 ft -------------------------------------------- Corresponding 3D Rectangular XYZ-Coordinates x = +1114.4687523 km = +692.4987773 mi y = -4760.1602553 km = -2957.8264531 mi z = +4478.6251697 km = +2782.8886613 mi ------------------------------------------------------------------ GPS/GRS-80/WGS-84 Ellipsoid Parameters R = Equatorial radius = 6378.1370 km = 3963.190592 mi r = Polar radius = 6356.7523 km = 3949.902764 mi f = Flattening = 0.003352810681 = 1/298.257222100883 e = Eccentricity = 0.081819191043 Ce = Equatorial Circumference = 40075.0167 km = 24901.4609 mi Cp = Polar Circumference = 40007.8629 km = 24859.7335 mi
Ellipsoid Equations Applied
Jay Tanner - 2026