Variance and Standard Deviation Statistics Calculator
PHP Program by Jay Tanner

Simply enter the delimited numerical data table/string and click [COMPUTE].
The numerical data elements can be separated by commas, spaces or semicolons.
The initial example data is randomly generated.  Copy/Paste/Replace with your own data table.






   View/Copy PHP Source Code      Download this PHP Program 
Statistics Computed From The Above Data Table
Mathematical  Expression Numerical  Evaluation 

Data elements count
79

Data element index
1 to 79

th  indexed value of () within the data table
1 to 79

Sum of all given numerical data
941.616
Sum of All Data

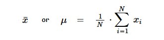
Arithmetic mean (average) of sample or population
11.919189873418
Arithmetic Mean

 Sum of squares of all differences from the mean 
21.926084151899

Sample variance
0.281103642973
Sample Variance

Standard deviation within sample
± 0.530192081206
Sample Standard Deviation

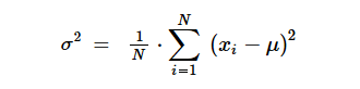
Population variance
0.277545369011
Population Variance

Standard deviation within population
± 0.526825748243
Population Standard Deviation
PHP Math Tool by Jay Tanner - 2026